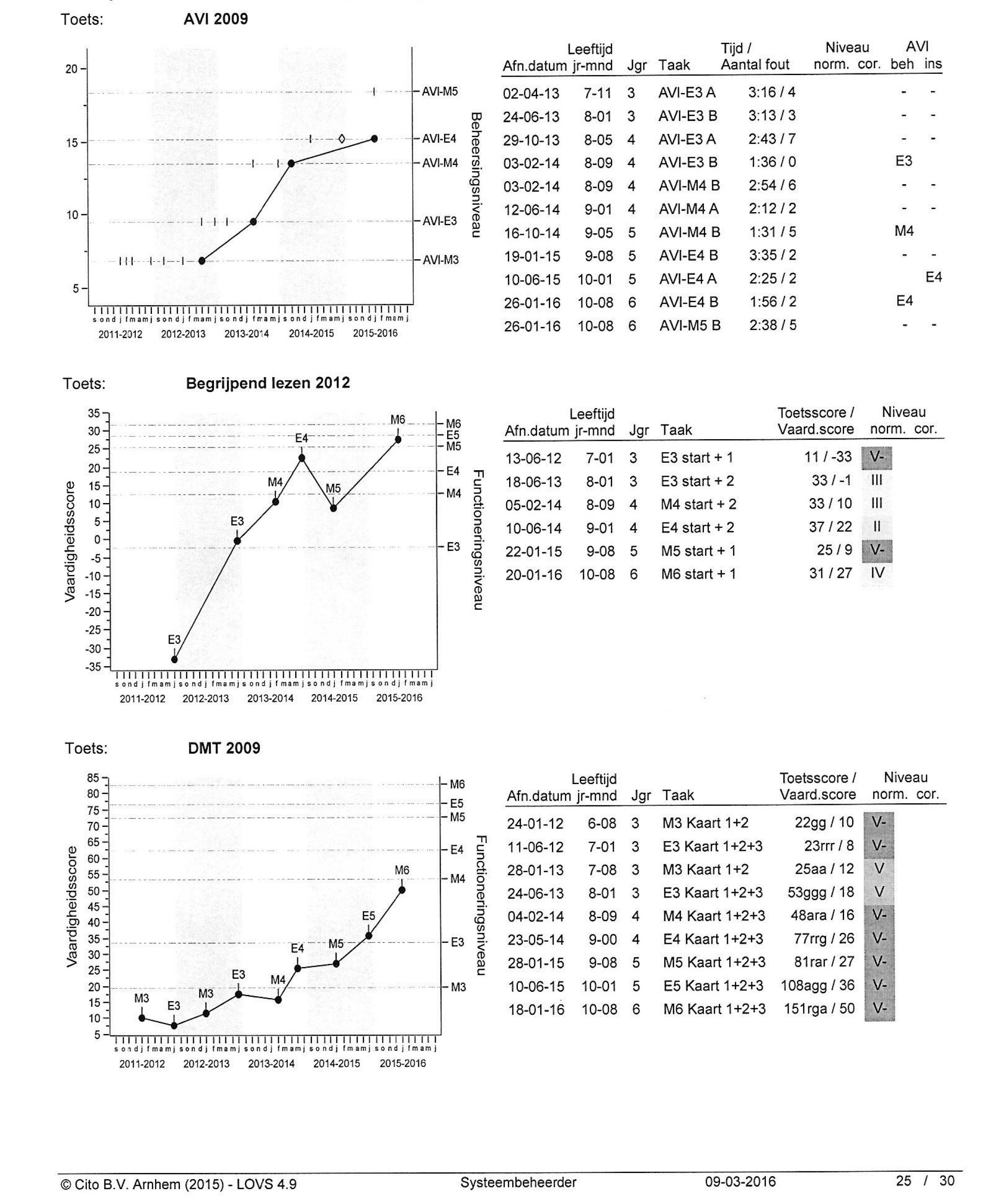
Ik houd er niet van om CITO toetsen te gebruiken als bewijs van vooruitgang. Maar deze Cito uitslagen van een leerling die een jaar bij mij in behandeling is geweest, laat in al haar CITO resultaten zien, dat reflexintegratie een enorme leerwinst heeft opgeleverd !
Door de ontstane rijpheid van het zenuwstelsel heeft dit kind nu bereik van alle hersengebieden. Doordat de verstoringen door primaire reflexen op hersenstam- niveau niet meer aanwezig zijn worden de andere hersengebieden ( Limbische systeem en Cortex) beter bereikt. Dit zorgt ervoor dat (complexe) taken vlotter worden begrepen, opgepakt en worden uitgevoerd. Door de verbetereing van ruimtelijk zicht en inzicht is het rekenen enorm vooruit gegaan en is overschrijven van het bord veel gemakkelijker.
Daarnaast is dit kind op sociaal emotioneel gebied veel evenwichtiger geworden, is zich bewuster van haar eigen lichaam en daarmee ook beuwster van eigen doen en laten. Bewustzijn van je lichaam betekent dan ook dat je je lichaam beter en bewuster kunt aansturen, dus vaardigheden als bewegen en expressie gaan ook vooruit.
Ook het commentaar van juf liegt er niet om. het startmoment van de reflexintergatie is zelfs in de CITO te zien. In april/mei 2015 gestart met behandeling, in februari 2016 was de behandeling reflexintegratie voltooid.
Dank aan de ouders dat ik dit mooie resultaat mocht delen !



.jpg?width=3100&mode=crop&format=jpeg&signature=de184529ea594ae4ec46baeb61f22be9b9bcd6be)